Geografía física
Identification of critical segments by vulnerability for freight transport on the paved road network of Mexico
Identificación de tramos críticos por vulnerabilidad para el traslado de mercancía en la red carretera pavimentada de México
Luz Gradilla Hernández*, Ovidio González Gómez**
* Facultad de Ingeniería, Universidad Autónoma de Querétaro, Cerro de las Campanas s/n, Ciudad Universitaria, C.P. 76010, Querétaro, Querétaro, Mexico. Email: luzgradilla@gmail.com
** División de Posgrado, Facultad de Ingeniería, Universidad Autónoma de Querétaro, Cerro de las Campanas s/n, Ciudad Universitaria, C.P. 76010, Querétaro, Querétaro, Mexico. Email: ovidio@uaq.mx
Received: 2 July 2009.
Final version accepted: 15 February 2010.
Abstract
The potential for disruption of the Mexican road network increases in importance as the economic dependence on road transport increases. Therefore, this article presents an analysis to identify critical segments of the road network in terms of freight transport. The emphasis is on methodology, but the results of applying the method are also shown, by analysing the effect on total travel time within the network, including the effects of route changes in response to segment capacities. The method uses the criterion 'effect on travel time', ATa, of Scott et al., but an original model is presented. Calculation of the effects includes an interface developed in TransCAD®. Application of the method to the main road network in Mexico has identified critical segments where the network is vulnerable and it has been demonstrated that is feasible to apply the methodology with the information available in Mexico.
Key words: Critical segments, vulnerability, Mexican roads.
Resumen
La posible interrupción de la red carretera mexicana cobra mayor importancia por la dependencia de la economía al transporte automotor. Por ello, en este artículo se propone un análisis para identificar los tramos críticos de la red carretera, de acuerdo con los flujos de carga. Se pone énfasis en la metodología pero también se ofrecen los resultados de su aplicación, mediante el análisis de la afectación en el tiempo total de viaje en la red, incluyendo los efectos de cambios de ruta en atención a la capacidad vial. Se discute la metodología a utilizar, de acuerdo con la propuesta de Scott y colaboradores y se presenta el modelo propio. En seguida se muestra el método para calcular las afectaciones, mediante el uso de una interfaz desarrollada en TransCAD®. A partir de su aplicación a la red carretera de México, se presentan los resultados obtenidos, con la identificación de los tramos críticos donde la red es vulnerable y se demuestra que es factible aplicar la metodología con la información disponible en México.
Palabras clave: Tramos críticos, vulnerabilidad, carreteras mexicanas.
INTRODUCTION
Globalization has increased the dependence of national economies on their transport systems. Hence, any interruptions in these systems will have significantly deleterious effects on the economy in the near future; this presents a challenge in the area of transport research (Husdal, 2006), particularly in developing countries such as Mexico, whose economy depends in large part on its sparse and outmoded road network for the transport of goods and people. It is important to quantify the effect that an obstruction on a segment of road will have for the network, and also the probability of obstruction on each segment, since this information is essential for rapid action in the event of such a breakdown, for planning the hierarchy of management and conservation, and for the rebuilding of outdated roads.
A method of quantifying the vulnerability of portions of road networks is required. It must be capable of application in Mexico, within the limits of the information available in that country. Critical portions will be identified by quantifying the effects of an individual obstruction on the functioning of the network.
Estimation of the probability of breakdowns in the road networks is dealt with in studies of reliability of networks. However, one justification for focusing on the consequences of interruptions in these networks is that it is hardly feasible to finance an integral geographic study and a detailed location of the risks in each section of a network as well as an estimation of the probability of their occurrence (Taylor and d'Este, 2003). In addition, Jenelius et al. (2006) noted the difficulty in estimating the probabilities of extreme events such as natural disasters, as well as the fact that the probabilities can be estimated only with the aid of historical information, for which it is assumed that the circumstances surrounding the event remain unchanged over time and that all the contributing causal factors are known.
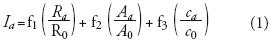
In an earlier report (Gradilla et al., 2009) of the line of research referred to in the present paper, a critical review of the literature suggested the importance of developing methods of multicriteria analysis. It was recommended that the effects be quantified according to three criteria: a) decreased connectivity between origindestination pairs (Viswanath and Peeta, 2003; di Gangi and Luongo, 2005; Murray and Mahmassani, 2004); b) reduced accessibility (Lleras and Sánchez, 2001; Berdica and Eliasson, 2004; Taylor et al., 2006) and c) effects on duration of journey, or travel time (Jenelius et al., 2006; Berdica, 2002; Scott et al., 2006; Taylor and d'Este, 2004; Tampère et al., 2007). A model (equ. 1) embracing these three criteria is proposed. Each segment of road can be analysed separately in such a way that indices can be derived for the vulnerability of the network to the effects of a breakdown in individual segments.
where:
Ra is the number of shortest routes that cross segment a and connect the origindestination pairs of the network analysed;
R0 is the total number of shortest routes that connect all the origindestination pairs of the network analysed;
Aa is the sum of the accessibility indices of all the origindestination pairs of the network for the scenario in which the obstruction of segment a is simulated;
A0 is the sum of the accessibility indices of all the origindestination pairs of the network for the baseline scenario;
ca is the duration of the journey of the whole system when segment a is completely obstructed;
c0 is the duration of the journey of the whole system when all segments of the analysed network are functioning;
f1 is the factor for the connectivity criterion;
f2 is the factor for the accessibility criterion; and
f3 is the factor for the criterion of the effect on journey duration.
However, within this multicriteria method, it is best to analyse separately each of the criteria and then to compare the results of each monocriterion analysis against the others and against the multicriteria analysis; this checks the variability encountered in the use of each separately and the appropriateness of using the three together. Therefore, the scope of the present paper is confined to the analysis of criterion (c): travel time.
METHODS
The criterion 'effect on travel time', ATa, which will be described below, is based on the work of Scott et al. (2006). ATa is a means of identifying critical segments of a road network with a focus on systems, whereby calculation of the index for each segment takes into account the consequences for the entire network if this segment is obstructed, in terms of the total time for the system; in other words, it measures a proxy for the cost, in travel time, of having to take another route when one segment is obstructed.
The criterion 'effect on travel time' determines the increase in total travel time of the network when segment a is unavailable; hence, the index evaluates the importance of a segment of road as a function of its contribution to the effect on travel time of the entire system when that segment is obstructed and the users must take an alternative route, if one exists.
In the following equations, ta (xa) represents the total time that vehicles take to traverse segment a.
where
ta is the travel time for each segment a of the network, and
xa is the flow in segment a.
Criterion ATa for each segment a is derived in three stages (Scott et al., 2006):
Stage 1. The travel time for the whole system is obtained, taking into account all the segments of the network under normal conditions (baseline case), according to the following equation.
where
c is the travel time for the whole system when all segments are available.
Stage 2. Travel time for the whole system when segment a is unavailable, ca, is derived from the following equation.
where
ca is the travel time for the whole system when segment a is unavailable,
ta is the travel time for each segment a of the network,
xa is the flow in segment a.
Stage 3. The increase in travel time for the whole system caused by the absence of segment a is calculated:
where
c is the travel time for the whole system when all segments are available,
ca is the travel time for the whole system when segment a is unavailable, and
qa is the increase in travel time incurred for the whole system when segment a is unavailable.
And finally, the value for criterion ATa is calculated as follows.
where
c is the travel time for the whole system when all segments are available, and
ca is the travel time for the whole system when segment a is unavailable.
It is important to apply the criterion 'effect on travel time' (ATa) in road networks that have reliable information and by means of an automated process. The model of user equilibrium assignment (Wardrop 1952) is ideal for application in this method for two reasons. First, in equilibrium, no user of the network can improve his travel time by changing the route, i.e. the level of flow and the degree of congestion in the segments have been taken into account. This condition is more realistic than assuming that the users use solely those routes with the lowest time in the network (Scott et al., 2006). Secondly, the model of user equilibrium assignment is suitable because of its ability to reflect the fact that the users of the network who cannot use the disrupted segment are obliged to take another route and thereby increase the flow in other segments. In other words, both the intended users and nonusers of the disrupted segments are affected; when some users change their route this increases the travel time on other segments.
APPLICATION TO THE MEXICAN NETWORK
The criterion 'effect on travel time' (ATa) from Equation 6, together with Equations 3, 4 and 5, is calculated with TransCAD® software, a geographic information system (GIS) with applications in transport. The software incorporates the model of user equilibrium assignment, but in this case it is necessary to design a macro using Caliper Script, the language of the TransCAD® program, to calculate Equations 3, 4 and 5 and lastly the criterion ATa (Equ. 6) for each segment of the network.
For use of this macro to calculate the criterion ATa, it is necessary to consider a georeferenced road network with information on the speed, length and capacity of each segment as well as to identify the centroids of the network and to estimate a matrix of origindestination journeys for these centroids.
The macro in TransCAD® first calculates the flow and the travel time under normal conditions (with no segment obstructed), and these are the values that are entered in Equation 3, using the model of user equilibrium assignment; it is possible to take into account freight vehicles and passenger vehicles, but in the present case (see below) only freight vehicles are considered, because a national origindestination matrix of passenger journeys is not available for Mexico. The program then sequentially disables each segment of the network. After disabling one segment, the program uses the model of user equilibrium assignment to reassign the traffic in the network; this produces the values to be entered in Equation 4. Finally, criterion ATa is calculated from Equation 6 for each segment. In all, the program runs the model of user equilibrium assignment as many times as there are segments that are to be disabled, plus one more for the baseline data. Figure 1 shows the algorithm required for obtaining criterion ATa; this forms the basis for describing the program that allows automation of the calculations.
Figure 2 shows the interface of the macro for the user. Section 1 of the interface defines the method; in this version only the criterion 'effect on travel time' is available. It also presents the option of calculation in 'automatic' form for all the segments of the network, or in 'manual' form if it is required for only some of the segments. Section 2 defines the origindestination matrix or submatrix that is to be used, and also specifies the Passenger Car Equivalent (PCE) in order to define the equivalence, in terms of cars, of the freight vehicles and buses. In the present case, the following freight vehicles are taken into account: C2 (lorry with two axles), C3 (lorry with three axles), T3S2 (cab with three axles and semitrailer with two axles) and T2S3 (cab with two axles and semitrailer with three axles), and a PCE of 1.8 is considered (Highway Capacity Manual, 2000; Webster and Elefteriadou, 1999). Finally, the Value of Time (VOT) is assigned.
Section 3 of the interface specifies the stratum that contains the segments and then presents the choice of a group of segments for which the criterion ATa is to be calculated. Section 4 defines the parameters of the delay function. First, the field that contains the value of time in free flow for traversing the segment is given, and this has to have been calculated previously in the table of data attached to the network. After that, it is necessary to indicate the field that contains the capacity of each segment of the network and also the values of the parameters alpha and beta of the delay function (Equation 7); the values recommended by the Bureau of Public Roads (BPR) are 0.15 and 4, respectively, for roads of one and four lanes per direction and with an average speed of 91 km/h, and these are the values adopted for the present study. The BPR delay function is used because it is available in TransCAD and because it is the most often used in the North America; in addition, its calibration record for another study in Mexico (Montoya, 2005) was taken into account. Finally, the number of iterations of the model of assignment must be specified; here, it is twenty in accordance with the recommendations of the TransCAD software. The convergence value is set at 0.01, which represents the absolute change of all the flows of the segments between each pair of consecutive iterations.
where:
t is the travel time on the congested segment,
tf is the travel time on the segment with free flow,
v is the volume of traffic on the segment,
c is the capacity of the segment,
α is a calibration parameter related to the volume, and
β is a calibration parameter related to the delay.
APPLICATION OF THE TRAVEL TIME CRITERION TO THE NETWORK OF PAVED ROADS IN MEXICO
The method using the ATa criterion was applied to the federal network of paved roads in Mexico, for which the obstruction of each of the federal segments was simulated, and the variation in travel time was calculated, taking into account the total network of paved roads in Mexico, which includes those under state and municipal administration. Figure 3 gives geographically referenced information on the roads used; this corresponds to the National Inventory of Transport Infrastructure (INIT) of 2007,1 as well as the 564 centroids of the origindestination matrix of journeys for the road transport of freight developed in the Mexican Transport Institute (IMT) by Trejo et al. (1999) and actualized in Centeno and Mendoza (2003).
Figure 4 presents graphically the values estimated for the ATa criterion for each federal paved road segment; the highest values correspond to the critical segments, i.e. those whose obstruction has the greatest effect on the functioning of the network as a whole. The critical segments follow a pattern that divides the national network into five possible sections, as is indicated by the mauve lines traced in the figure; these lines result from the potential combination of various critical segments that, because of their position in the network, tend to cause major detours in the routes of the users, since in those zones there are no nearby underused segments that would bypass the obstruction and offer alternative routes with little variation in travel time.
It is striking how the topology of the network influences the pattern of vulnerability. The present structure of the network reflects both the topographic characteristics of the Mexican territory and historical factors such as the construction of trade routes in response to the markets that existed in those times (Chias, 1990; González, 1990). The centre of the country, defined here in broad terms as the central plateau, its coastal regions, the near south and near north, has a dense network of roads as a result of decades of the construction of roads, some now superfluous, that corresponded to areas with the greatest population density and economic importance in the different periods of Mexican history.
This extensive, dense central network has vulnerable segments bordering it to the north, though not on the frontier itself but hundreds of kilometres inside the national border. The absence of sufficient transverse links and the limited duplication of connections from the high plateau to the frontier ports in the north lead to a critical status for some segments to the south of Monterrey, Saltillo, Torreón, Durango and Mazatlán in terms of the vulnerability of the network as a whole.
The other clear line of rupture that separates the centre from the rest of the country lies in the Tehuantepec isthmus. This line of weakness, too, can be attributed to topology, and more specifically to the topography of the zone that has allowed the construction of roads near each coast but with a weak connection between the two coasts. Here, the connections near the maritime ports of CoatzacoalcosMinatitlán and Salina Cruz are critical.
Two other zones of weakness are clearly seen in Figure 4. One separates the Baja California peninsula and Sonora from the rest of the country. This supports the general perception that this part of the country leans in figurative terms towards the southwestern USA. The critical status of these segments results from the very sparse national network, basically consisting of the federal highway 015 from Guadalajara to Tijuana, with few transverse connections. The other zone of weakness, at the other end of the country, separates the Yucatán peninsula in the region of Isla del Carmen to the west of Campeche. Here again, the relative independence of this zone from the national economic centre has led to an absence of the surplus connections that might otherwise have been constructed in the past.
Figure 4 also shows that of the fourteen critical segments that cross the lines of weakness, ten form part of the major routes defined by the Secretariat of Communications and Transport (SCT). The above analysis indicates that the network of roads depends for its efficient operation on the critical trunk segments that correspond to the highways, situated in regions to the north and south of the country. It can readily be seen that the greater density of the network in the centre of the country helps that zone to be less vulnerable to the obstruction of any one segment; also, the zones that are strategic for keeping the central region connected with the rest of the network appear to be those that contain fewer circuits and which fall within the four bands. However, the four critical segments that are in these bands, and which are not part of the major routes, show that not all critical segments are obvious at first sight.
Once the estimate of ATa has been obtained for each segment, it is possible to establish a hierarchy of the segments of the network, to indicate those that should be given priority for being put back into operation if they become obstructed by an accident or a natural disaster. In the prevention phase, too, those segments high in the hierarchy should be assigned priority in preventive maintenance. In the planning stage, the critical segments could indicate those places in which it would be advisable to build duplicate support roads.
Table 1 shows some of the critical segments of the federal road network with their level in the hierarchy.
INTERPRETATION AND CONCLUSIONS
The results appear to support the first impression that the network of paved roads in Mexico has a dense zone, with considerable redundancy, in the centre and its neighbouring coasts and in its extension towards the north. This also supports the view of road building that has closely followed the pattern of manufacturing installations since the middle of the last century and that has allowed the economic growth of northern Mexico. It differs somewhat from the various interpretations regarding the recent financial deepening, immediately following the economic liberalization in the 1980s between the north and the south of the Mexican Republic, above all in the states of Guerrero and Oaxaca; only the clear separation of Chiapas coincides with this interpretation. However, this separatist argument is matched by counterarguments in the sphere of land connections, insofar as free trade also boosted commercial links via the maritime ports of the Gulf of Mexico and the Pacific Ocean, and because of this those territories, too, were joined at a greater density.
Also noteworthy is the anticipated vulnerability of the segments that connect the northern extremity near the northern frontier and, in particular, the far northwest including the Baja California peninsula, in the same way that the connection with the Yucatán peninsula is also obviously vulnerable.
Given that the use of the criterion of travel time estimates the effect in the whole network on all freight movements, the critical segments that coincide with the major routes of freight transport become even more critical. This result theoretically should be greater than the estimate if only the topological criterion had been used, but less than obtained by means of the connectivity of the routes. This difference has to be checked with a comparison of the results of these criteria. The results reported here would very probably be affected fundamentally and significantly by the topology of the network (density and redundancy), but the difference from the exclusively topological criterion has not been estimated.
The results of the application of this method are estimations that depend to a great extent on the reliability of the information used, principally of the demand of journeys contained in the origindestination matrix used, whose validity has already been tested in other research by the IMT. However, because of the research interests of the IMT the effort has been put into estimating and validating these matrices for freight, and the flow of cars and buses has not received the same degree of attention. If the flow of both freight and passenger vehicles were taken into account when determining the critical segments, this would improve the estimations of the consequences of disrupting a segment, above all when the segments of alternative routes have little surplus capacity under normal conditions.
It would be useful to apply the same criterion ATa using a matrix that contained journeys of all types of vehicle, but since the estimation of this at the national level is not available, it must remain simply a recommendation for future research.
ACKNOWLEDGMENTS
We thank Ricardo Montoya Zamora for programming the macro in TransCAD®, and acknowledge the valuable comments and help given by Miguel Ángel Backhoff Pohls, Head of the Geospatial Information Systems Unit of the Mexican Institute of Transport.
REFERENCES
Berdica, K. (2002), Vulnerability: a modelbased case study of the road network in Stockholm, TraVIS for roads: examples of road transport vulnerability impact studies, Doctoral Thesis, TRITAINFRA 02029, KTH, Stockholm.
Berdica, K. and J. Eliasson (2004), "Regional accessibility analysis from a vulnerability perspective", Second International Symposium on Transportation Network Reliability (INSTR), Nicholson, A. and A. Dantas (eds.), Christchurch, New Zealand, pp. 8994.
Centeno Saad, A. G. and A. Mendoza Díaz (2003), Modelo de asignación multiproducto para las operaciones de carga por autotransporte y ferrocarril, Publicación Técnica, no. 222, Instituto Mexicano del Transporte, México.
Chias Becerril, L. (1990), "Articulación de las costas mexicanas", Revista Mexicana de Sociología LII(3), julsept, pp. 6984.
Di Gangi, M. and A. S. Luongo (2005), "Measures of network vulnerability indicators for risk evaluation and exposure reduction", Environmental Health Risk III, Wessex Institute of Technology, UK.
González Gómez, O. (1990), "Construcción de carreteras y ordenamiento del territorio", Revista Mexicana de Sociología LII(3), julsept, pp. 4968.
Gradilla Hernández, L., R. de la Llata Gómez and O. González Gómez O. (2009), "Índices de vulnerabilidad de redes carreteras: enfoques recientes y propuesta de aplicación en México", Revista Ingeniería Investigación y Tecnología, Facultad de Ingeniería, UNAM.
Highway Capacity Manual (2000), Transportation Research Board, National Research Council, Washington, DC.
Husdal, J. (2006), Transport Network Vulnerability which terminology and metrics should we use?, NECTAR Cluster 1 Seminar, Molde, Norway.
Jenelius, E., T. Petersen and L. Mattsson (2006), "Importance and exposure in road network vulnerability analysis", Transportation Research Part A, vol. 40, pp. 537560.
Lleras Echeverri, G. and M. Sánchez Silva (2001), "Vulnerability analysis of highway networks, methodology and case study", Institution of Civil Engineers, Transport, vol. 147, pp. 223230.
Montoya Zamora, R. (2005), Análisis de escenarios para el libramiento norte de la Ciudad de México, Tesis de Maestro en Sistemas de transporte y distribución de carga, Facultad de Ingeniería, Universidad Autónoma de Querétaro.
MurrayTuite, P. and H. Mahmassani (2004), "Methodology for determining vulnerable links in a transportation network", Transportation Research Record: Journal of the Transportation Research Board, no. 1882, TRB, National Research Council, Washington, DC, pp. 8896.
Scott, D. M., D. Novak, L. AultmanHall and F. Guo (2006), "Network robustness index: a new method for identifying critical links and evaluating the performance of transportation networks", Journal of Transport Geography, vol. 14, pp. 215227.
Tampère, C., J. Stada, B. Immers, E. Peetermans and K. Organe (2007), Methodology for identifying vulnerablesections in a national road network, 86th Annual Meeting of the Transportation Research Board, Washington, DC.
Taylor, M. A. and G. M. D'Este (2003), Concepts of network vulnerability and applications to the identification of critical elements of transport infrastructure, 26th Australasian Transport Research Forum, Wellington, New Zealand.
Taylor, M. A. and G. M. D'Este (2004), "Critical infrastructure and transport network vulnerability: developing a method for diagnosis and assessment", in A. Nicholson and A. Dantas (eds.), Second International Symposium on Transportation Network Reliability, Christchurch, New Zealand, pp. 96102.
Taylor, M. A., G. M. D'Este and S. Sekhar (2006), "Application of accessibility based methods for vulnerability analysis of strategic road networks", Networks and Spatial Economics, Springer, vol. 6, pp. 267291.
Trejo Ramírez, J. M., J. A. Deantes del Ángel and A. Mendoza Díaz (1999), Un análisis de la demanda del autotransporte nacional de carga, Publicación Técnica, no. 127, Instituto Mexicano del Transporte, México.
Viswanath, K. and S. Peeta (2003), "Multicommodity maximal covering network design problem for planning critical routes for earthquake response", Transportation Research Record: Journal of the Transportation Research Board, no. 1857, TRB, National Research Council, Washington, DC, pp. 110.
Wardrop, J. G. (1952), "Some theoretical aspects of road traffic research", Proceedings of the Institution of Civil Engineers, Part II, pp. 325362.
Webster, N. and L. Elefteriadou (1999), "A simulation study of truck passenger car equivalents (PCE) on basic freeway sections", Transportation Research Part B: Methodological, vol. 33, no. 5, pp. 323336.
1 Compiled by the Geographic Information Systems Unit of the Mexican Transport Institute, in conjunction with the Communications and Transport Secretariat.
Herramientas del artículo
Estadísticas del artículo
vistas descargas| anual | histórico | |
|---|---|---|
| vistas | 13 | 1185 |
| descargas | 10 | 909 |







