Geografía física
Teleconexiones de la Oscilación Decadal del Pacífico (PDO) a la precipitación y temperatura en México
Teleconnection of the Pacific Decadal Oscillation (PDO) to the precipitation and temperature in Mexico
Jorge Méndez González*, Angela Ramírez Leyva*, Eladio Cornejo Oviedo*, Alejandro Zárate Lupercio*, Tereza Cavazos Pérez**
* Departamento Forestal, Universidad Autónoma Agraria Antonio Narro, Boulevard Antonio Narro No. 1923, 25315 Buenavista, Saltillo, Coahuila. Email: jormendezgonzalez@gmail.com; anrale85@gmail.com, cornejo@forestal.org.mx, azárate@uaaaan.mx
** Departamento de Oceanografía Física, Centro de Investigación Científica y de Educación Forestal, Km. 107 Carretera EnsenadaTijuana No. 3918, Zona Playitas, 22860 Ensenada, Baja California. Email: tcavazos@cicese.mx
Recibido 4 de agosto de 2009.
Aceptado en versión final: 30 de noviembre de 2009.
Resumen
Esta investigación resalta la variabilidad de la precipitación (PP), temperatura máxima (TM) y mínima (tm) y su relación con las teleconexiones climáticas de la Oscilación Decadal del Pacífico (PDO) en México durante el periodo de 19502007. Correlaciones no paramétricas realizadas con una significancia estadística del 90% o mayor, en 550 estaciones climatológicas distribuidas en todo el territorio mexicano, fueron calculadas a escala mensual. Los resultados sugieren los siguientes patrones de PDOPP, TM y tm: periodos húmedos por arriba de lo normal durante el invierno boreal (novabr) coinciden con la fase cálida (positiva) de la PDO, así como condiciones cálidas durante verano boreal (mayoct) extendiéndose sobre el noreste de México. Los resultados confirman las teleconexiones de la PDO y la amplificación de signos climáticos en México a escalas locales y regionales.
Palabras clave: Precipitación, temperatura, anomalías, PDO, Teleconexiones y México.
Abstract
This paper highlights the relationship between precipitation (PP), maximum (TM) and minimum temperature (tm) variability in Mexico and the Pacific Decadal Oscillation (PDO) climate teleconnections during the period 19502007. Non parametric correlations in 550 climatologic stations throughout Mexico were tested for statistical significance at the 90% level or greater for each month. The results suggest the following patterns of PDOPP, TM and tm anomalies: warm phases (positive) of the PDO coincide with anomalously wet periods during boreal winter (novapr), as well as warm conditions during boreal summer (mayoct) extending into the northeastern of Mexico. The results confirm PDO teleconnections and the amplification of climate signals in Mexico at local and regional scales.
Key words: Precipitation, temperature, anomalies, PDO, teleconnections and Mexico.
INTRODUCCIÓN
La variabilidad climática, denotada por las variaciones en el estado medio del clima (IPCC, 2007) en todos sus espectros: espacial (global, regional, local) y temporal (interdecadal, interanual, estacional), tiene impactos socioeconómicos significativos en países que basan su desarrollo en el manejo de sus recursos naturales. La interacción océanoatmósfera que se da en puntos terrestre distantes conocida como "teleconexión", origina modos persistentes y recurrentes de variabilidad de baja frecuencia de presión atmosférica y anomalías de circulación oceánica (Kiladis y Diaz, 1989); las teleconexiones son una de las causas internas más relevantes de la variación del sistema climático (IPCC, 2007; Bates et al., 2008) y son de gran interés para entender el cambio climático natural.
El interés por conocer los modos de variabilidad climática en el mundo se debe al conocimiento generado acerca del calentamiento del planeta (Hare, 1996), ya que permite conocer y prever algunos impactos sobre el clima futuro (Mantua y Hare, 2002). Uno de los principales modos de variabilidad climática interanual es el fenómeno "ENSO" (El Niño/ Oscilación Sur), el cual modifica los patrones de precipitación y temperatura en la mayor parte del planeta (Ropelewski y Halpert, 1987, 1996; Jones y Trewin, 2000; IPCC, 2007). El ENSO se manifiesta con cambios en la temperatura de la superficie del mar en la zona oriental del Pacífico ecuatorial, denominándose "El Niño" a la fase cálida y "La Niña" a la fase fría (Philander, 1990; Trenberth, 1997).
Uno de los nuevos temas en la investigación climática es la llamada Oscilación Decadal del Pacífico, PDO por sus siglas en inglés. El término PDO apareció por vez primera en la literatura en Mantua et al. (1997). La PDO ha sido descrita como una fluctuación de largo periodo en el Océano Pacífico (Trenberth 1990; Mantua y Hare, 2002). Los efectos climáticos primarios de la PDO se concentran en el Pacífico Norte (Mantua et al., 1997; Cayan et al., 1998; Mantua y Hare 2002) y suroeste de Norteamérica (Higgins et al., 2000; Gutzler et al., 2002) manifestándose durante el periodo invernal principalmente.
Varios investigadores (Zhang et al., 1997; Gershunov y Barnett, 1998; Hare y Mantua, 2000) han notado una correspondencia entre eventos ENSO y respuestas climáticas "tipoENSO" de la PDO, siendo el ejemplo más claro el excepcional Niño del '98 (Hare y Mantua, 2000), donde cambios en la circulación atmosférica modificaron las anomalías de temperatura superficial del Océano Pacífico. Por más de 25 años, el clima del Pacífico Norte permaneció en un estado "normal" aun a pesar de la ausencia de eventos cálidos (El Niño) en el Pacífico Tropical; sin embargo, un "cambio de régimen" originado por anomalías invernales en 19761977 fue notado por Trenberth (1990), Miller et al. (1994), Hare y Mantua (2000) y posteriormente por D'Arrigo et al. (2001), Biondi et al. (2001) y MacDonald y Case (2005) en series dendrocronológicas, destacando la fase negativa de la PDO entre 993 aC y 1300 dC, generando con ello el interés por estudiar la PDO.
En México, Englearth y Douglas (2002) y Pavia et al. (2006) vislumbran el papel que juega la teleconectividad de la PDO en la modulación de anomalías de precipitación y temperatura estacional; sin embargo, evaluar esta relación a escala mensual es sumamente importante especialmente por su aplicación práctica. Esta investigación estudia las teleconexiones de la PDO sobre la precipitación (PP), temperatura máxima (TM) y mínima (tm) en México a escalas mensuales, permitiendo con esto identificar regiones susceptibles (o no susceptibles) a la PDO, sus posibles impactos y consecuencias en nuestro país. No se han documentado evidencias de la asociación de la PDO con la variabilidad interanual de la TM y tm en México, motivando esto a realizar este estudio.
MATERIALES Y MÉTODOS
Descripción físicoclimática del área en estudio
México se encuentra ubicado totalmente en el hemisferio norte y está distribuido casi por partes iguales a ambos lados del Trópico de Cáncer, el cual marca hacia el Norte el clima árido y el semiárido y hacia el Sur el clima húmedo y semihúmedo (Mosiño y García, 1974; García 2003). Posee una extensión territorial de 1 964 375 km2 y se enmarca dentro de las coordenadas geográficas extremas que van desde 14° 32' hasta 32° 43' latitud norte y de 86° 42' a 118° 22' longitud oeste (INEGI, 2009). Esta gran franja latitudinal lo expone a fluctuaciones de circulación atmosférica de gran escala (Cavazos y Hastenrath, 1990), modulando significativamente el clima del país.
Gran parte de la variabilidad climática en México está gobernada por la ocurrencia del fenómeno de El ENSO (Ropelewski y Harpert, 1986; Cavazos y Hastenrath, 1990; Magaña et al., 2003), la topografía compleja, las variaciones en tipos de vegetación y uso de suelo, cercanía al mar, fenómenos físicos como la migración latitudinal de la Zona de Convergencia Intertropical (ZCIT), ciclones tropicales, el monzón, la actividad de la corriente en chorro, frentes fríos y sistemas convectivos de mesoescala (García, 2003).
Registros de precipitación anual cercanos a 100 mm en el noroeste de México y hasta más de 4 000 mm en el sureste y costa Sur del Pacífico ponen de manifiesto los grandes contrastes lluviosos del país (Wallén, 1955; Hastenrath, 1967; Mosiño y García, 1974). En gran parte de México la precipitación ocurre principalmente en verano, de mayo a octubre, excepto en el noroeste de Baja California. Las temperaturas que se presentan en el país pueden variar regionalmente al igual que la precipitación; en el 93% del país las temperaturas promedio cerca de la superficie se encuentran en el rango de 10 y 26° C, respectivamente (García, 1988).
Fuente de datos
Datos diarios de precipitación y temperatura de más de 5 000 estaciones climatológicas fueron proporcionados por el Servicio Meteorológico Nacional Mexicano (SMN), variando desde 1900 hasta el 2008. Los datos fueron evaluados aplicando criterios de calidad como se ha sugerido en estudios climáticos (Alexander et al., 2006; IPCC, 2007). Un total de 550 estaciones climatológicas (ec) distribuidas razonablemente en todo el país (Figura 1) fueron seleccionadas, mismas que cumplieron criterios como: longitud de registro ≥50 años, que tuvieran más del 80% de la información, consistencia anual e interanual y homogeneidad de las series. Estaciones con registros de 40 años fueron consideradas para cubrir espacios geográficos del área en estudio (menos del 2% de ellas).
Procedimientos y análisis estadísticos
Las anomalías estandarizadas de PP, TM y tm de cada estación climatológica fueron obtenidas como lo han sugerido Pavia et al. (2006):
donde x es la temperatura (precipitación) del mes,
μ (x) es su valor climatológico promedio,
y σ (x) es su desviación estándar.
Las teleconexiones de la PDO sobre los datos mensuales estandarizados de PP y TM y tm, fueron evaluadas mediante análisis de correlación de Spearman ρ (rho). Esta es una prueba no paramétrica que mide la asociación entre dos variables discretas, la cual viene dada por:
donde D es la diferencia entre los valores correspondientes de x y. N es el número de parejas, la cual para N>20 sigue una aproximación a la distribución t de Student,
y puede ser utilizada para probar Ho: ρ=0, así, 1≤ρ≤1, aunque ρ=0 no indica ausencia de asociación entre las variables, pero si ausencia de asocia ión lineal (Steel y Torrie, 1992).
La teleconectividad encontrada con ρ, se verificó mediante correlación de Pearson r, sobre una muestra aleatoria del 12% del total de las estaciones analizadas, la cual viene dada por:
donde x, y, son dos variables aleatorias con media x, y y desviación estándar sx , sy, respectivamente y n, el tamaño de muestra. "r", es independiente de la escala de medida de las variables, pero a diferencia de ρ, es muy susceptible a outliers o valores extremos.
Mantua et al. (1997) derivaron el índice de la PDO de la primera componente principal de la variabilidad mensual de la temperatura superficial del mar (TSM), la presión atmosférica a nivel del mar (P) y el viento superficial del Pacífico Norte (V). La PDO consta de una fase positiva (cálida) y una fase negativa (fría), originando climas muy similares a los de El Niño/La Niña, respectivamente (Gershunov y Barnett, 1998). Los datos de la PDO se proporcionan en forma mensual, estandarizada, iniciando en enero de 1900 hasta la fecha, y se encuentran disponibles en: http://www.atmos.washington.edu/~mantua/abst.PDO.html. Datos históricos de la PDO (Figura 2) muestran fases cálidas desde aproximadamente 1900 hasta 1945 y de 1977 a 2007, mientras que de 1946 a 1976 se percibe la existencia de una fase fría. Estos cambios de fase (o de régimen) se muestran en la Figura 3 con líneas punteadas, las cuales fueron obtenidas mediante el método de Rodionov (2004).
En este estudio, las correlaciones se realizaron a escalas mensuales a un nivel de confianza del 90%, usando las series estandarizadas de precipitación y temperatura, buscando que x, y estuvieran a la misma escala. Ejemplo: PDOαene vs. PDOene, PDOαfeb vs. PDOfeb, ... , PDOαdic vs. PDOdic y de forma similar para TM y tm. Hare (1996), Hare y Mantua (2000) indican que usar variables estandarizadas (normalizada) en estudios climatológicos es una de las técnicas de corrección más comunes.
Para identificar la influencia anual, posterior al episodio de la PDO sobre el clima en México, se realizaron retardos de correlación (lags) desde uno hasta cinco años (A1, ...A5), ya que Mantua et al. (1997) consideran una persistencia de la PDO de más de 20 años.
Los patrones geográficos de las teleconexiones de la PDO a la PP, TM y tm, se obtuvieron realizando interpolaciones de "ρ" mediante un sistema de información geográfica, utilizando el método de IDW (Inverse Distance Weighted) conservando el valor y signo del coeficiente ρ y asignando "0" (cero) a estaciones con p≥0.10. Este proceso permite identificar los patrones geográficos de las teleconexiones, así como aquellas donde no se registran.
RESULTADOS Y DISCUSIÓN
Teleconectividad PDOPrecipitación: escala temporal
La teleconectividad más importante de la PDO sobre la precipitación en México es observada durante el año inicial (A0), la cual registra en promedio 103 estaciones climatológicas con correlación desde 0.20 a 0.50, estadísticamente significativas (p≤0.10 y 1≤ρ≤1) desde enerodiciembre, representando el 18.8% del total de las estaciones, ec (Figura 3a). No obstante, los resultados muestran correlaciones importantes cuando se realizan retardos de uno a cinco años de correlación en la PDO (A1, ...A5) las cuales promedian 12.5% de ec. Noviembre, diciembre, enero y mayo son los meses que presentan las teleconexiones promedio más fuertes, 14% de ec, desde A1, ...A5 después de realizar retardos de correlación (línea sólida, Figura 3b).
Enmarcando el A0 a escala mensual, la precipitación de noviembre, enero y diciembre registra la teleconectividad promedio más importante con la PDO (19502007), representando 41.8% (n=230), 27.6% (n=152) y 22.4% (n=123) de las ec, respectivamente (barras, Figura 3b); julio y octubre tienen las teleconexiones más débiles con la PDO, arrojando sólo el 9.3% de ec significativas (menos de 51 estaciones climatológicas).
Teleconectividad PDOPrecipitación: escala espacial
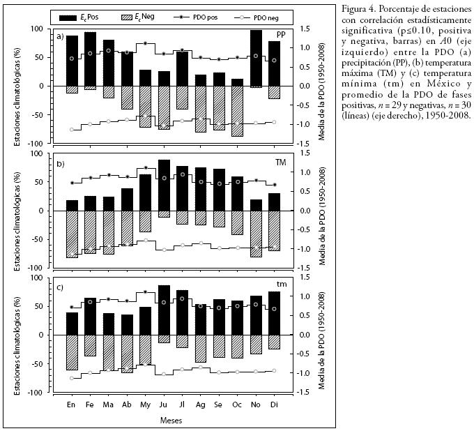
Los resultados indican que la PDO se correlaciona positivamente con la PP en particular durante el invierno boreal (novabr), (barras, Figura 4a), lo que significa que la fase positiva (negativa) de la PDO favorece las lluvias (sequías) invernales, especialmente en la Altiplanicie Mexicana y en el norte de México, como se muestra en la Figura 5. Consistente con estos resultados, varios autores han encontrado que la fase positiva de la PDO favorece las lluvias invernales en el norte de México (Mantua et al., 1997; Biondi et al., 2001; Pavia et al., 2006) y el suroeste de Estados Unidos (Gershunov y Barnett, 1998; Mantua y Hare, 2002). Los impactos de la PDO son mayores en el hemisferio Norte (Cayan et al., 1998), pudiendo ser responsable del 50% de variabilidad anual de precipitación.
Patrones inversos a los anteriores se registran durante el verano boreal (mayoct), (Figura 4a). La fase positiva (negativa) de la PDO favorece condiciones de sequías (lluvias) sobre pequeñas regiones al sur del territorio mexicano (Figura 5), mismas que son completamente dependientes de la intensidad y duración de la PDO (Mantua et al., 1997). Por otra parte, se ha documentado que la fase negativa de la PDO durante el periodo medieval (AD 900 a 1300) coincide con periodos prolongados de sequía en el oeste y centro de Norte América (MacDonald y Case, 2005).
Las teleconexiones más fuertes (de acuerdo con la magnitud de ρ) de la PDO sobre la PP se registran en pequeñas regiones al norte del país (Coahuila, Chihuahua y Nuevo León), las cuales alcanzan valores de ρ>0.5 (Figura 5); regiones sin tramas (Figura 6, y 7 ) representan áreas no susceptibles a la PDO obtenidas según este procedimiento. Se ha encontrado que la fase cálida de la PDO durante el Otoño '98, cambió dramáticamente a negativa (Hare y Mantua, 2000) siendo quizá la PDO también responsable del aumento de temperaturas y sequías en el norte y centro de México durante ese año.
Teleconectividad PDOTemperatura máxima y mínima: escala temporal
El gran porcentaje de ec con correlación desde 0.20 a 0.60 estadísticamente significativa (p≤0.10 y 1≤ρ≤1) en temperatura máxima (27.6% de ec) y temperatura mínima (27.8% de ec), durante el año inicial (A0) arrojan evidencias indiscutibles de la teleconectividad de la PDO sobre la temperatura del país (Figuras 3c y 3e). Los retardos de correlación (A1, ...A5) indican teleconexiones muy importantes tanto en TM (24.1%) como en tm (24.8%), superando por mucho a la PP ya que sólo representa el 12.5% de ec desde A1, ...A5 (Figuras 3a, 3b y 3c).
A escala mensual, promediando el porcentaje de ec significativas (p≤0.10) desde A1, ...A5 (línea sólida, Figura 3d), los resultados muestran que en TM, el periodo con la mayor teleconectividad es de marzo a mayo (desde 2333% de ec), mientras que la parte opuesta es registrada en enero y noviembre (19% de ec). En tm, los meses con mayores teleconexiones son mayo y julio con 33.4 y 30.2% de ec, respectivamente; octubre y noviembre representan la parte contraria (17%), (línea sólida, Figura 3f). Lo anterior da evidencias de la modulación de temperatura (máximas y mínimas) del país después de la evolución de episodios cálidos (fríos) de la PDO.
Similarmente, por la mayor teleconectividad de la PDO sobre la TM y tm registrada durante A0 los resultados de este estudio hacen énfasis sobre este periodo. Enero, marzo y abril son los meses con las mayores teleconexiones en TM (barras, Figura 3d) registrando 37.4, 36.7 y 32.6% de total de ec, respectivamente, en tanto que noviembre sólo registra 11.2% de estaciones significativas (n=62). En tm, la mayor teleconectividad se presenta desde marzo hasta julio, la cual promedia 36% del total de ec (n=197) y sólo 18.5 y 13.1% de ec durante septiembre y octubre (barras, Figura 3f).
Teleconectividad PDOtemperaturas máximas y mínimas: escala espacial
Correlaciones positivas entre la PDOTM se detectan durante el verano boreal (mayoct) y correlaciones negativas durante el invierno boreal (novabr) promediando más de 70% de ec en cada periodo (barras, Figura 4b). Durante el verano, la influencia de la fase positiva (negativa) de la PDO en México se traduce en anomalías positivas (negativas) de temperaturas máximas, geográficamente distribuidas sobre Baja California, Sonora y Chiapas (Figura 6), consistente con lo encontrado por Mantua y Hare (2002) y Pavia et al. (2006) para la temperatura media del país.
Los impactos más importantes (por su escala geográfica) de la PDO sobre la TM se observan durante el invierno boreal. La fase fría (cálida) de la PDO contribuye aumentando (disminuyendo) las temperaturas máximas sobre regiones amplias y consistentes en el nortenoreste y Golfo de México (Figura 6). El promedio de la fase negativa del índice de la PDO en este periodo es el más alto (líneas, Figura 4), quizá los impactos en magnitud son también mayores en este periodo. Los patrones geográficos de correlación PDOtemperatura, encontrados en este estudio, coinciden con lo reportado por Mantua y Hare (2002).
Los patrones de correlación (positivos/negativos) para tm no muestran patrones claros y se reparten casi uniformemente durante el año (Figura 4c). Las correlaciones positivas más importantes detectadas entre la PDOtm se registran sobre el centro y sur del territorio mexicano durante junio y julio, y noroeste de México desde enero a junio (Figura 7), representando ascenso (descenso) de temperatura mínima con la presencia de valores positivos (negativos) de la PDO (Figura 4c). Las correlaciones negativas PDOtm se distribuyen ampliamente sobre el noreste de México, favoreciendo temperaturas mínimas por arriba de lo normal (por abajo) desde enero a mayo (Figura 7) durante la fase negativa (positiva) de la PDO.
Los patrones geográficos de correlación de PDOtm de este estudio, son afines a lo documentado por Pavia et al. (2006) en temperatura media durante verano, pero también a lo documentado por Cavazos y Hastenrath (1990) usando el Índice de la Oscilación del Sur. Englehart y Douglas (2002) han documentado que las teleconexiones más fuertes (PPmodas climáticas) ocurren en la fase positiva de la PDO, mismas que son responsables de eventos extremos de precipitación en el sur de México (Peralta et al., 2009).
Análisis comparativo de teleconectividad PDOTM: correlación r vs. ρ
Una muestra aleatoria (n=68), que representa 12.3% del total de ec en TM, fue analizada con correlación paramétrica (r) desde enero a diciembre en A0, para comparar y confirmar las teleconexiones evaluadas en este estudio con ρ (correlación no paramétrica). Los resultados indican que el porcentaje promedio de estaciones climatológicas con correlación significativa positiva (p≤0.10) en PDOTM usando ρ y r son similares (16.7% y 16.1%), al igual que en las correlaciones negativas (13.1% y 13.8%) en ρ y r, respectivamente (Tabla 1).
Las diferencias absolutas porcentuales más importantes entre el número de estaciones climatológicas con correlación significativa (p≤0.10) obtenida con ρ y r a escala mensual son observadas en las correlaciones positivas en los meses de febrero, junio y noviembre con 4.4%, mientras que en las negativas es de 5.9% en el mes de abril. No obstante, considerando 0.10≤p≤0.10, es decir, estaciones con correlación significativa y no significativa, los resultados indican que la proporción promedio de concordancia entre ρ y r es de 90.9%, arrojando evidencia de la teleconectividad encontrada entre la PDO y el clima en México. En cuanto a la magnitud los resultados indican ser similares tanto en correlación positiva como negativa (0.31 en ρ y r ), al igual que en el signo de la correlación (+ y ) resultando en el 100% de los casos iguales tanto en ρ como en r.
CONCLUSIONES
Este estudio muestra evidencias claras de la modulación de la Oscilación Decadal del Pacífico sobre el clima de México. Las teleconexiones más importantes se registran durante el año inicial (A0) con más de 27% de ec en temperatura máxima y mínima, con valores de ρ entre |0.20 y 0.60| y sólo de |0.20 y 0.40| en precipitación representando el 18% de ec . No obstante, la naturaleza decadal de la PDO (Mantua et al., 1997) revela correlaciones significativas en TM y tm durante primavera y verano después del primer año (A0), promediando 25% de ec , superando por mucho a PP (12.4% de ec ).
La precipitación en México durante invierno boreal (novabr) permanece en fase con la PDO (la fase positiva (negativa) favorece más (menos) lluvias, mientras que en verano boreal (mayoct) la relación resulta opuesta. Los resultados muestran a la TM en fase con la PDO durante el verano y fuera de fase durante en invierno, mientras que en tm, los patrones no parecen ser muy claros, sugiriendo que podrían estar o no en fase a la PDO en cualquier periodo del año.
Es muy probable que en las próximas décadas la PDO cambie de polaridad como lo han documentado Mantua et al. (1997), D'Arrigo et al. (2001), MacDonald y Case, (2005); por lo tanto, en México deberían tomarse en cuenta pronósticos de la PDO para prevenir sus impactos negativos (sequías, inundaciones, etc.), especialmente en el norte del país durante el periodo invernal.
Los resultados encontrados en este estudio son similares a lo encontrado por Cavazos y Hastenrath (1990) con el Índice de la Oscilación del Sur (SOI); con Magaña et al. (2003) analizando episodios cálidos (El Niño) y fríos (La Niña) del ENSO y con Méndez et al. (2009) usando el Índice Multivariado del ENSO (MEI). Lo anterior podría indicar que los impactos (favorables/desfavorables) climáticos más importantes en el país podrían ocurrir cuando el ENSO y la PDO se encuentren en fase como lo han sugerido para Norteamérica Gershunov y Barnett (1998) y Schoennagel et al. (2005). Se sugiere más trabajo científico/estadístico para ampliar el conocimiento de la variabilidad climática del país y teleconexiones a la PDO.
AGRADECIMIENTOS
Agradecimientos especiales al Dr. Michel Rosengaus Moshinsky y al personal del Servicio Meteorológico Nacional por el soporte con la información climática, así como a la Universidad Autónoma Agraria Antonio Narro (Departamento Forestal) por el apoyo para la realización de la presente investigación.
REFERENCIAS
Alexander, L. V., x. Zhang. T. C. Peterson, J. Caesar, B. Gleason, A. Klein Tank, M. Haylock, D. Collins, B. Trewin, F. Rahimzadesh, A. Tagipour, P. Ambenje, K. Rupa Kumar, J. Revadekar, G. Griffiths, L. Vincent, D. Stephenson, J. Burn, E. Aguilar, M. Brunet, M. Taylor, M. New, P. Zhai, M. Rusticucci and J. L. VázquezAguirre (2006), "Global observed changes in daily climate extremes of temperature and precipitation", Geophys. Res Lett., no. 111, D05109.
Bates, B. C., Z. W. Kundzewicz, S. Wu y J. P. Palutikof (eds.; 2008), El Cambio Climático y el Agua. Documento técnico del Grupo Intergubernamental de Expertos sobre el Cambio Climático, Secretaría del IPCC, Ginebra.
Biondi, F., A. Gershunov and D. R. Cayan (2001), "North Pacific decadal climate variability since 1661", J. Climate, no. 14, pp. 510.
Cavazos, T. and S. Hastenrath (1990), "Convection and rainfall over Mexico and their modulation by the southern Oscillation", Int. J. of Climatology, no. 10, pp. 337386.
Cayan, D. R., M. D. Dettinger, H. F. Diaz and N. E. Graham (1998), "Decadal variability of precipitation over western North America", J. Climate, no. 11, pp. 31483166.
D'Arrigo, R., R. Villalba and G. Wiles (2001), "Treering estimates of Pacific decadal climate variability", Climate Dynamics, no. 18, pp. 219224.
Englearth, P. J. and A. V. Douglas (2002), "Mexico's summer rainfall patterns: an analysis of regional modes and their changes and teleconnectivity", Atmósfera, no. 15, pp. 147164.
García, E. (1988), Modificaciones al sistema de clasificación climática de Köppen, Instituto de Geografía, UNAM, México.
García E. (2003), "Distribución de la precipitación en la República Mexicana", Investigaciones Geográficas, Boletín, no. 50, Instituto de Geografía, UNAM, México, pp. 6776.
Gershunov, A. and T. Barnett (1998), "Interdecadal modulation of ENSO teleconnections", Bull. Amer. Met. Soc., no. 79, pp. 27152726.
Gutzler, D. S., D. M. Kann and C. Thornbrugh (2002), "Modulation of ENSObased longlead outlooks of Southwest U.S. Winter precipitation by the Pacific Decadal Oscillation", Weather and Forecasting, no. 17, pp. 11631172.
Hare, S. R. (1996), "Book review of patterns in the Ocean: ocean processes and marine population dynamics by Andrew Bakun", Fish. Oceanogr. no. 5, pp. 227228.
Hare, S. R. and N. J. Mantua (2000), "Empirical evidence for North Pacific regime shifts in 1977 and 1989", Prog. Oceanogr. no. 47, pp. 103145.
Hastenrath S. L. (1967), "Rainfall distribution and regime in Central America", Arch. Meteorol. Geophys. Biokimatol. Ser., no. 15, pp. 201241.
Higgins, R. W., A. Leetmaa, Y. Xue and A. Barnston (2000), "Dominant factors influencing the seasonal predictability of U.S. precipitation and surface air temperature", J. Climate, no. 13, pp. 39944017.
INEGI (2009), Aspectos generales del territorio mexicano [http://www.inegi.org.mx/inegi; consulta 17 de junio].
IPCC (2007), Informe de síntesis. Contribución de los Grupos de trabajo I, II y III al Cuarto Informe de Evaluación del Grupo Intergubernamental de Expertos sobre el Cambio Climático [Equipo de redacción principal: Pachauri, R. K. y A. Reisinger (dirs. de la publicación)], IPCC, Ginebra, Suiza.
Jones, A. D. and C. B. Trewin (2000), "On the relationships between the El NiñoSouthern Oscillation and Australian land surface temperature", Int. J. Climatol., no. 20, pp. 679719.
Kiladis, G. N. and H. Díaz (1989), "Global climatic anomalies associated with extremes in the Southern Oscillation", J. Climate, no. 2, pp. 10691090.
MacDonald, G. M. and R. A. Case (2005), "Variations in the Pacific Decadal Oscillation over the past millennium", Geophys. Res. Lett., no. 32, L08703.
Magaña, V. O., J. Vázquez, J. L. Pérez and B. J. Pérez (2003), "Impact of El Niño on precipitation in Mexico", Geofísica Internacional, vol. 42, no. 3, pp. 313330.
Mantua, N. J., S. R. Hare, Y. Zhang, J. M. Wallace and R. C. Francis (1997), "A Pacific interdecadal climate oscillation with impacts on salmon production", Bull. Amer. Meteor. Soc., no. 78, pp. 10691079.
Mantua, N. J. and S. R. Hare (2002), "The Pacific Decadal Oscillation", J. Oceanography, no 58, pp. 3544.
Méndez, G. J., R. H. González, G. E. Treviño, Y. E. Jurado, M. M. Pando and P. T. Cavazos (2009), Spatial and temporal teleconnections of the Multivariate Enso Index MEI) to rainfall, maximum and minimum temperature anomalies in Mexico, IOP Conf. Ser. Earth Environ. Sci., 6, 292033.
Miller, A. J., D. R. Cayan, T. P. Barnett, N. E. Graham and J. M. Oberhuber (1994), 'The 197677 climate shift of the Pacific Ocean", J. Oceanography, no. 7, pp. 2126.
Mosiño, P. A. and E. García (1974), "The climate of Mexico", in Bryson, R. A. and F. K. Hare (eds.), World survey of climatology, vol. II, Climates of North America, Elsevier, London, pp. 345404.
Pavia, E. G., F. Graef and J. Reyes (2006), "PDOENSO effects in climate of Mexico", Notes and correspondence", J. Climate, no. 19, pp. 64336438.
Peralta, H. A. R., R. C. Balling and M. L. R. Barba (2009), "Comparative analysis of indices of extreme rainfall events: variations and trends from southern Mexico", Atmósfera, vol. 22, núm. 2, pp. 219228.
Philander, S. G. (1990), El Niño, la Niña and the Southern Oscillation, Intern. Geophys. Series. Acad. Press, San Diego, California.
Rodionov, S. (2004), "A sequential algorithm for testing climate regime shifts", Geophys. Res. Lett., no. 31, L09204.
Ropelewski, C. F. and M. S. Halpert (1996), "Quantifying Southern Oscillationprecipitation relationships", J. Climate, no. 9, pp. 10431059.
Ropelewski, C. F. and M. S. Halpert (1987), "Global and regional scale precipitation associated with El Niño/Southern Oscillation", Mon. Weather Rev., no. 115, pp. 985996.
Ropelewski, C. F. and M. S. Halpert (1986), "North American precipitation and temperature patterns associated with the El Niño/Southern Oscillation (ENSO)", Mon. Weather Rev., no. 114, pp. 23522362.
Schoennagel, T., T. T. Veblen, W. H. Romme, J. S. Sibold and E. R. Cook (2005), "ENSO and PDO variability affect droughtinduced fire occurrence in rocky mountain subalpine forests", Ecological Applications, vol. 15, no. 6, pp. 20002014.
Steel, R. G. D. y J. M. Torrie (1992), Bioestadística: principios y procedimientos, 2a. ed., Mc GrawHill, México.
Trenberth, K. E. (1990), "Recent observed interdecadal climate changes in the northern hemisphere", Bull. Amer. Meteorol. Soc., no. 71, pp. 988993.
Trenberth, K. E. (1997), 'The definition of El Niño', Bull. Amer. Meteorol. Soc., no. 78, pp. 27712777.
Wallén, C. C. (1955), "Some characteristics of precipitation in Mexico", Geografiska Annaler, no. 37, pp. 5185.
Zhang, Y., J. M. Wallace and D.S. Battisti (1997), "ENSOlike interdecadal variability", J. Climate, no. 10, pp. 10041020.
Herramientas del artículo
Estadísticas del artículo
vistas descargas| anual | histórico | |
|---|---|---|
| vistas | 8 | 251 |
| descargas | 15 | 5554 |







